This mobile App is aimed to design an easy and comfortable Grocery Store experience for all the Shoppers around the world. The focus is to enhance and improve the user experience and make their in-store shopping experience engaging and rewarding through this mobile application.

Duration:* 2 week design sprint*
Tools:* Figma, Adobe suite*
Deliverables: High fidelity Prototype for mobile App.
Methodology:* Affinity Mapping, Persona, User flow, Style Guide*
DISCOVER
Research
I started the research by first creating a survey with few questions about the grocery experience. I then distributed it through different social mediums to gauge responses from different age groups. I got about 40 survey responses, 2 contextual inquiries and 5 interviews. The data that I received was really insightful. The true insights and information from interviews helped me find patterns through Affinity Diagramming.

Insights
• Millennials like to shop online for their groceries.
• Baby Boomers prefer the in-store experience to online
• Users like to inspect and pick out their own products
• Users favor the atmosphere and experience of shopping in stores
• Users need grocery stores to make checkout faster
• Users want grocery stores to provide more product choices
• Users need grocery retailers to provide meal ideas
**• **Users would like to scan groceries as they shop and then pay for them without having to go through checkout
• Users expect most supermarkets to become primarily self-checkout
Competitive Landscape
















Competitive Analysis
All the Leading Big Box stores and independent grocery stores have their modern mobile shopping apps.
These apps with various features allows the customers to **shop online, pick up in store, get home delivery **.
The apps lets the customers shop with the best deals and competitive prices.
Most of these apps are focused on online shopping and home delivery methods.
The in-store shopping experience is yet under explored by most of these apps, resulting in reduced store footfall.
Reduced store footfall leads to the overall down trend in sales of the stores.
DEFINE
Data Synthesis
In-Store Grocery Shopping has multiple challenges against Online shopping experience:
Time Consuming Store visit & Getting lost in Aisles
Energy Consuming Fatigue after the shopping trip
Extra Money Costs Fuel and no price comparison
Problem Statement
The millennial mom needs a faster way to optimize her In-store Grocery shopping experience. She needs a cost effective and easy way to prepare fresh meals for her family. She wants to spend more time with her family as well as accomplish her fitness goals through the day.
Target User

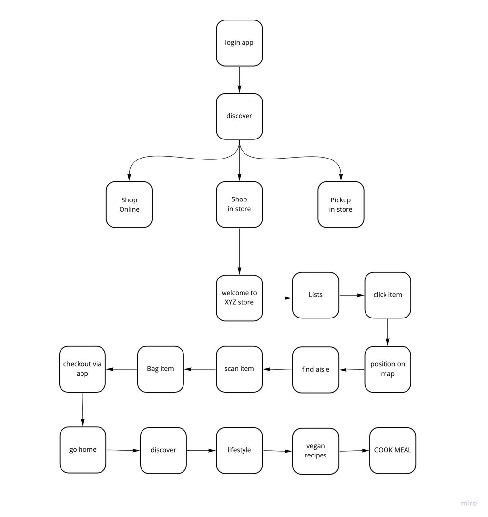
USERFLOW

DEVELOP
Design Hypothesis
Optimize Shopping Time by
- Aggregating shopping lists by store department and integrating with maps in order to guide new users
- Having Maps and geolocation based services to create the shortest Shopping path in the store
- Adding self scan feature like “Scan & Go” while shopping and bagging items in cart physically
Rewards & Gamification by
- Rewarding users for in-store shopping visits and saving money
- Giving Points for Number of steps taken within the store and achieve fitness goals as well.
- Giving Points for each item self scanned and bagged to promote faster shopping experience
Sketching Concepts


Screen Flow
LOGIN & HOME
IN-STORE INTERACTION
Design Concepts

MY LIST
My List saves time by automatically adding repeated grocery items, providing Aisle number through Maps in the lists & providing single place to manage all shopping by department.

My Map
My Map saves time by automatically mapping List items on Store Map, guiding the user with Fastest Shopping Path for locating items, providing easy navigation through aisles and make overall shopping experience efficient and faster

Scan ‘n’ go
Self scan and Go while shopping saves time by faster checkout, no wait at checkout lines, save money by earning points with each scan, easy in and easy out shopping experience, buy all scanned items with just one touch.

My Wallet
Saves time by letting user view all the shopping financials at one place, Checkout automatically populates the offers and shows the final price , which user can pay with single touch.

Curated products & trends
Lifestyle Trends Inspires user to stay fit and shop for healthy products, provides recipes and healthy meal ideas through posts and stories on the app, lead a healthy lifestyle by shopping smart.
DELIVER

Usability Tests
I conducted usability tests with a couple of my colleagues who shop grocery differently. Some of the insights from usability testing are :
- Users were confused about the home page and got lost when they could not find the home page
- Users wanted to have global search available to them at all points of time
- Users wanted instant access to the scan feature at time of shopping
- Users were struggling to go back to lists to from scan page
- Users were not finding the navigation flow intuitive enough to finish the task.
Iterations
•First iteration was to get rid of Search field in the lifestyle category so that users do not get confused with bottom nav search •Next iteration was to convert the hamburger menu to a bottom nav, in order to make all the important features available to the users at all times •Adding “Scan n Go” feature at the top right for quick access to scan feature which is new to the user
Changed the Home Page into Bottom Global navigation with essential features available to the users at all times